当前位置:首页>开发>正文

c32应该怎么算

2023-06-30 21:28:47 互联网 未知 开发

c32应该怎么算?

c32应该怎么算

解题过程:C(3,2)=3!/(2!*1!)=(3*2)÷(2*1)=3

组合(combination)是一个数学名词。一般地,从n个不同的元素中,任取m(m≤n)个元素为一组,叫作从n个不同元素中取出m个元素的一个组合。

我们把有关求组合的个数的问题叫作组合问题。

排列组合是组合学最基本的概念。所谓排列,就是指从给定个数的元素中取出指定个数的元素进行排序。组合则是指从给定个数的元素中仅仅取出指定个数的元素,不考虑排序。

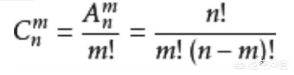
排列A(n,m)=n×(n-1).(n-m 1)=n!/(n-m)!(n为下标,m为上标,以下同)

组合C(n,m)=P(n,m)/P(m,m) =n!/m!(n-m)!;

例如A(4,2)=4!/2!=4*3=12

c32应该怎么算

扩展资料:

排列组合问题难点:

⑴从千差万别的实际问题中抽象出几种特定的数学模型,需要较强的抽象思维能力;

⑵限制条件有时比较隐晦,需要我们对问题中的关键性词(特别是逻辑关联词和量词)准确理解;

⑶计算手段简单,与旧知识联系少,但选择正确合理的计算方案时需要的思维量较大;

⑷计算方案是否正确,往往不可用直观方法来检验,要求我们搞清概念、原理,并具有较强的分析能力。

随便看看